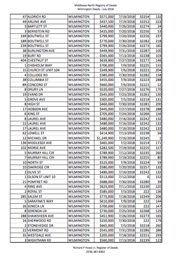
WILMINGTON, MA — According to the Middlesex North Registry of Deeds, 47 properties were sold in Wilmington during July 2018:

Like Wilmington Apple on Facebook. Follow Wilmington Apple on Twitter. Follow Wilmington Apple on Instagram. Subscribe to Wilmington Apple’s daily email newsletter HERE. Got a comment, question, photo, press release, or news tip? Email wilmingtonapple@gmail.com.